UNDANGAN UNTUK SEKRETARIS PPK, STAF TATA USAHA DAN KEUANGAN SEKRETARIAT PPK

KOMISI PEMILIHAN UMUM
KABUPATEN GUNUNGKIDUL
Alamat : Jalan Ki Demang Wonoprawiro, Lingkar Utara Piyaman, Wonosari, Gunungkidul 55821
Telp. (0274) 391210 Fax. (0274) 391210
=========================================================================
|
Nomor : 678/UND/IX/2013 Lampiran : 1 lembar Hal : Undangan
|
Wonosari, 10 September 2013 Kepada Yth. Sekretaris PPK Se Kabupaten Gunungkidul Di tempat |
Dengan ini diberitahukan bahwa KPU Kabupaten Gunungkidul akan melaksanakan kegiatan pada :
Hari : Kamis
Tanggal : 12 September 2013
Jam : 08.30 WIB
Tempat : Ruang Rapat KPU Kab. Gunungkidul
Acara : 1. Evaluasi Pertanggungjawaban Bulan Mei dan Agustus 2013
2. Distribusi Operasional adhoc bulan Mei, honor bulan Juli dan Agustus 2013
Sehubungan dengan hal tersebut dimohon Saudara Sekretaris PPK untuk hadir bersama Staf Tata Usaha dan Keuangan Sekretariat PPK untuk mengikuti kegiatan dimaksud.
Demikian atas kehadiran Saudara kami ucapkan terima kasih.
Sekretaris,
ttd
Drs. BUDI HARTONO, SH
NIP. 19630914 198602 1 002
Keterangan :
- Agar berkoordinasi dengan BPD masing-masing Pencairan mulai Kamis, 12 September 2013
-
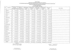
Lampiran :
Penyaluran Anggaran Ad-Hoc (PPK,PPS,Pantarlih) September 2013